MTF, known as Modulation Transfer Function, is a term used in optical engineering to evaluate the performance of a lens (optical system). In the field of image quality, it can also be used to evaluate the image sharpness. The most important components of MTF are: resolution and contrast.
Resolution describes the ability of an imaging system to recover detail in a scene and is often expressed in lp/mm as the number of line pairs per millimeter, where a line pair is a sequence of a black line and a white line. This line pair per millimeter metric is also called frequency. The reciprocal of the frequency produces the distance in millimeters between the two resolved lines. For all imaging elements, the edges of perfect lines become blurred to some extent when imaging a resolution plate. High resolution images are those that exhibit a lot of detail due to minimal blurring, and conversely, low resolution images lack detail. In summary, resolution is the ability of an imaging system to distinguish details of an object.

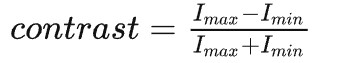
Contrast indicates the difference between light and dark areas in an image. When the black part of the image is truly black and the white part is truly white, the image is a complete restoration of the real scene and its contrast is the greatest. The greater the difference in intensity between light and dark lines, the higher the contrast. The more the black and white information tends to be gray, the lower the contrast at that frequency. Its calculation formula is:


MTF combines both resolution and contrast metrics and is an information-intensive metric that reflects how the imaging system reproduces contrast as spatial frequency (resolution) changes, i.e., the ability to convert resolution to contrast. These curves provide a comprehensive overview of how optical aberration affects performance under a specific combination of basic parameters determined according to application requirements.
Common MTF curves are shown in the following figures:

The horizontal coordinate in the figure represents the spatial frequency, the vertical coordinate represents the contrast, and the lines of different colors represent different field-of-view positions. There are two lines for each color: T-curve and S-curve, representing the meridian image and the sagittal image. The following conclusions can be obtained:
1、The higher the MTF curve, the better the area enclosed with the XY axis, the better the resolution and contrast.
2、The closer the lines of different colors are, the better the consistency of imaging between the edge position and the center position of the field of view.
3、The closer the T-curve and S-curve are, the better the consistency of imaging on the meridian and sagittal surfaces.